Vibration and noise from in runner electric motors comes mainly from
the stator deformation, induced by the constantly varying magnetic field
activating individual phases. The deformation on the outer surface of
the motor causes the air around it to move, generating pressure
differences, which are perceived as noise for the human ear. There are
three disciplines to be considered in this analysis—magnetic,
vibrational (structural), and acoustic
[SantosAnthonisNaclerioGyselinck].
In this tutorial we analyze a servo motor for the magnetic and
vibrational (structural) disciplines using MAGNETICS for NX and NX
NASTRAN. For the third part, acoustics, NX NASTRAN can also be used, but
we will not show it here because we focus on the magnetic part.

Picture: Siemens 1FT6 Servomotor
The results base on magnetic forces on the teeth. For this we will first perform a transient analysis in 2D and compute forces on the teeth. We will use a postprocessing solver feature that converts the time dependent forces into frequency dependent ones using Fourier transformation. Then those frequency forces will be imported into NX10 using the feature load recipe that is new in NX10. Finally in NX a frequency response analysis in NX NASTRAN Solution 111 with those forces as input will be performed.

Picture: Complete Simulation Model of 1FT6 Motor. Fluxdensity
distribution in 1FT6 Servomotor. Two out of four poles are modeled using
periodicity conditions.
Starting point is an already complete simulation model of a servo motor. We first check it and then add the necessary steps for NVH export and solve in NX NASTRAN.
Download the model files for this tutorial from the following
link:
https://www.magnetics.de/downloads/Tutorials/6.CouplMotion/6.8MotorNVH.zip
Open the part Motor1FT6_sim1.sim.
Change to the FEM file and notice the following features that are specific for NVH export:
This motor has a total of four poles and is modeled using two poles. There are 18 teeth in the model on which we want to analyze for forces.
Notice there are faces under all teeth. The next picture shows
the face under the second tooth. These faces are defined in CAD by
subdivisions of the neighboring faces of the air gap.

Each of these tooth faces has its own physical. The numbers of them start at 101 and then count up to 118.
The thickness of these gaps is 0.43 mm as you see in the next
picture.

Change to the SIM file
Notice there already exists a magnetostatic solution with all loads and BCs already given. If you want solve this solution for checking, but there is nothing very special to learn from. The torque should vary between about 18-20 Nm.
Create a new solution of type ’Magnetodynamic Transient’.
At Output Requests under ’NVH Coupling’ activate the switch ’NVH
Motor Export’ (also activate Motion Data under Tables). Key in the first
and last physical ID of your tooth faces at ’NVH Start PID’ and ’NVH End
PID’. Also key in the Gap Thickness to 0.43mm.

Set all other settings as
follows:
Time Steps: 180 steps will result in one electric period.

2D:

In Solver Parameters under ’Numeric’ set ’Epsilon’ for better
precision as shown:

Put all existing loads, constraints and simulation objects into the new solution.
Solve the dynamic solution. This will take about 2-5 min.
Notice that after the solve process a couple of text files have been created.
As a first check, switch to the ’XY-Function Navigator’ and plot
the Torque results of the joint (in case that the .afu files are not
already loaded, reload them); said results should lie (roughly) around
18 Nm.

In addition the files ’…_NVH_ForceRad.txt’ and ’…_NVH_ForceTan.txt’ where created; these files contain the tangential and normal forces on all 18 teeth for each time step (time domain).
To create the associated .afu files, use the function
’Table-Result to AFU Graph’ and select the above mentioned .txt
files.

In the XY-Function Navigator, press ’Open’, to load the newly
created .afu files.

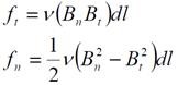
Then, plot the radial and tangential Forces of tooth 101

These forces are computed by the following equations based on the
Maxwell Stress tensor that is evaluated on the previously defined teeth
faces:

with:
\(fn, ft\): Radial and tangential
force
\(v: 1/\mu_{0}\).
\(B_{n}, B_{t}\): Radial and tangential
magnetic fluxdensity
’…_NVH.txt’: This file is generated at the end of the run. It
contains the Fourier transformed forces on the 18 faces. For each
frequency (column 1) the amplitude (Column 2) and phase (column 3) are
written.
Some background on the method: You need to postprocess a time evolution
with the help of a Fourier Transformation, in order to obtain the
Frequency spectrum (that is e.g. required by NASTRAN 111 as input).
Simplified (i.e. without oversampling) Nyquist’s theorem states that If
there are N time steps over this period (so N+1 points) then a maximum
of N/2-1 frequencies will be obtained, where N is the Nyquist frequency.
In our example, there are 180 time steps and we obtain 89
frequencies.

’…_NVH.unv’: This file also contains the frequency domain forces,
but it is formatted in unv format using dataset 58 what is capable for
LMS Virtual Lab and NX10 Load Recipes. We are going to read it into NX
to perform a NX NASTRAN dynamic response analysis.

Some information about the .unv file, see prior picture: The numbers 101 and 2 in line 24 define the source-function 101 and the direction 2. In line 25 you find 0.00000e+00 as the first frequency and 1.00100e+002 as the frequency step. Starting in line 30 there are couples of complex numbers, e.g. real part followed by their imaginary part.
Save your files and close them.
Open in NX10 or a later version the existing Sim file ’Motor1FT6_assyfem1_sim1.sim’. This model is already mostly build up for the NASTRAN NVH structural analysis.
Notice the following features in the model:
It is set up as an assembly fem. E.g. only one tooth is meshed in
a FEM file called ’Motor1FT6_fem2.fem’ and this mesh is placed in an
assembly 36 times. The thickness (z-direction) is set to only 1/6 of the
real 125 mm because we are not interested in z direction vibration
effects.

The nodes are merged in the assembly fem. Another possibility
would be to use glue conditions in the SIM file.

In the piece FEM file ’Motor1FT6_fem2.fem’ there is a 1D
Connection defined that connects the nodes that belong to the force face
with a point in the middle. This node will be used in the SIM file to
apply forces on.

There is a Cartesian nodal coordinate system assigned to the
force node. (This can be done with ’Edit, Node, Assign Nodal Coordinate
System …’). X points into the radial and y to the tangential direction.
Later in the assembly mesh there will be such coordinate systems for
each tooth. If we apply forces on the teeth they will use these
coordinate systems.

There are bushing elements of grounded type (0-D Mesh: CBUSH
Grounded) connected to the outside face nodes of the tooth. These
bushings are quite weakly defined and serve as boundary
conditions.
Correction: Set the stiffness values
to 10 N/mm.
In the assembly fem file there are 18 groups defined on which we
will later apply the forces. In the case of this motor we have a
symmetry factor of 2 for the electromagnetic analysis, e.g. we had to
analyze the half. So for the structural analysis all teeth forces must
be applied to 2 teeth faces or their corresponding nodes. In case of
other symmetry factors this must be considered similar. For easier
selection those two nodes are put into a groups. So we have 18 groups
each with 2 nodes. The next picture shows as an example two teeth
(number 2 and 19) that must have the same forces:

Consequently the two forces nodes of tooth 2 and 19 are put into
one group. This can be seen in the next picture:

Change to the Sim file. Next you will create a load recipe that references the frequency dependent force information in the .unv file and that applies those forces respectively to the corresponding node groups.
Choose the function ’Load Recipes’,

Set the ’Data Type’ to ’Frequency Spectra’ and click
’Create’.

In register ’Data Source’ press ’Browse for a new data source’
and select the newly created unv
file.
Press ’Automatically populate the mapping table and …’
.
Set the register to ‘Mapping’. You can see on the left that the
system has found forces on nodes in the file.

On the right side you see the mappings of the found forces to FE
entities. First thing you should do is set the ’Orientation’ option to
’Nodal’. This will result in the use of our nodal coordinate
systems.

In column ’Target’ you see the source-functions that are found in the .unv file. These source-functions correspond to the computed forces on the 18 tooth faces computed in MAGNETICS. You will now assign those source-functions to the prepared node groups.
Click on the first line (Target 101). In the lower area of the
dialogue set ’Type’ to ’Group’ and press
to change the target for this
source-function.

In the next dialogue select the group Group(1) and Ok. The
dialogue now shows that node group Group(1) will be applied by
source-function 101 in the DOF1 (e.g. the radial) and DOF2 (the
tangential direction).


Repeat the last two steps for all 18 source-functions. At the end
the dialogue should look like in the following picture. Maybe you want
to run the validation check finally
. Press ok and close then.

Now create a solution by RMB on the SIM file and ’New Solution
From Load Recipe…’.

Choose the Solution 111. In this case we will accept all default
settings, so press Ok and the solution is created.


You can check every single force and the corresponding frequency
domain data. In the subcase ’Data Source1’ there are all forces shown.
The next picture shows radial (DOF1) and tangential (DOF2) forces on
node 10224. Use RMB and ’Edit’ to find the corresponding table data for
this force.


Use
to see the table, e.g. the amplitude and phase data as
seen in next picture.

Activate the Source, by clicking RMB on ’Data Source..’, ’Make
Active’

We want to define the forcing frequencies, so choose RMB on ’Data
Source’ then ’Edit’ and press ’Create Forcing Frequencies’
. In the next window press ’Create’.
Choose the ’Frequency List Form’ ’FREQ1’ and key in as in the
next picture. We use the same frequencies as they come out of the
Fourier transformation of the electromagnetic tooth forces. But it is
enough to check only for the lower frequencies, so we set the number to
15.

Press Ok and in the next dialogue click ’Add’ and then ’Close’ and ’Ok’.
If you want check the information in ’Data Source’: There are fields and loads on all 36 nodes in the two directions.
Solve the solution.
Postprocess the results.
Create animations: The computed results are in frequency domain. So all results are in real and imaginary part or in amplitude/phase. To see an animation of the shape how it would look like in the time domain we need to cycle about the phase. This can be done as follows:
Open the displacement result of one of the frequencies in the postprocessor.
Open the displacement result of frequency 2 which is at 200.2 Hz as we have applied it.
Use ’Set Result’ to set the result. Set the ’Complex’ option to ’At Phase Angle’. Ok.
Set the factor for ’Deformation’ to a absolute value, for instance 100.
Use ’Animate’ and set the ’Style’ to ’Modal’. Ok. The animation
for this frequency is shown. From here you can manually extract the
maximal deformation (in this case 0.0063mm).

Use the green buttons to cycle through the frequency results.
For validation of the computed results we show a table with frequencies and the corresponding maximum amplitudes. This information can be extracted from the NX NASTRAN 111 solution and should (for the NX 11 solution) be:
| Frequency [Hz] | max. Amplitude [mm] |
| 100.1 | 0.0048 |
| 200.2 | 0.0063 |
| 300.3 | 0.0143 |
| 400.4 | 0.3410 |
| 500.5 | 0.0043 |
| 600.6 | 0.0025 |
| 700.7 | 0.0019 |
| 800.8 | 0.0198 |
| 900.9 | 0.0024 |
| 1001 | 0.0060 |
| … | ... |
Note: If NX 10 is used, slight variations might be present, due to the older NASTRAN functions.
It can be seen that at 400.4 and at 800.8 Hz there are maxima in the
amplitude as was requested in the task. This results in the highest
noise pressure at this frequency. Finally, we show the deformation shape
and stress distribution for the resonant frequencies 400.4 Hz and 800.8
Hz.

